loading
38820-59-6(X-6); 53473-28-2(6-K)
| Availability: | |
|---|---|
|
| |
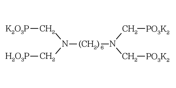
Potassium Salt of HexaMethyleneDiamineTetra
(MethylenePhosphonic Acid) HMDTMPA•K6
Product Name | Potassium Salt of HexaMethyleneDiamineTetra (MethylenePhosphonic Acid) HMDTMPA•K6 | Molecular Structure |
|
Other Name | Hexamethylenediaminetetrakis-(methylenephosphonic acid) potassium salt;aminotetra(methylenephosphonic acid) potassium salt;HMDTMPAK6;hexamethylenediamine tetra(methylene phosphonic acid) hexapotassium salt;Hexamethylenediamine Tetra(methylene Phosphonic Acid) Potassium Salt;K6HDTMP; | ||
CAS No | 38820-59-6(X-6) 53473-28-2(6-K) | ||
Molecular Formula | C10H22N2O12P4K6 | ||
Check-Point | Specification | ||
Appearance | Colorless to yellowish transparent liquid | ||
Active content (as acid), % | 21.2-24.6 | ||
Active content (as salt), % | 31.0-36.0 | ||
Total phosphoric acid (as PO43-), % ≥ | 16.8 | ||
Chloride (as Cl-), % ≤ | 4.0 | ||
Fe, mg/L ≤ | 35.0 | ||
Density (20℃), g/cm3 | 1.21-1.31 | ||
PH (1% water solution) | 6.0-8.0 | ||
Packing:
200L plastic drum,IBC(1000L),customers’ requirement.
Product Usage:
HMDTMPA•K6 is soluble in water, it is a good scale inhibitor for calcium sulfate, suitable for use in situation of high pH value and high alkaline. HMDTMPA•K6 can be used for water treatment in boiler and RO membrane treatment.
Potassium Salt of HexaMethyleneDiamineTetra
(MethylenePhosphonic Acid) HMDTMPA•K6
Product Name | Potassium Salt of HexaMethyleneDiamineTetra (MethylenePhosphonic Acid) HMDTMPA•K6 | Molecular Structure |
|
Other Name | Hexamethylenediaminetetrakis-(methylenephosphonic acid) potassium salt;aminotetra(methylenephosphonic acid) potassium salt;HMDTMPAK6;hexamethylenediamine tetra(methylene phosphonic acid) hexapotassium salt;Hexamethylenediamine Tetra(methylene Phosphonic Acid) Potassium Salt;K6HDTMP; | ||
CAS No | 38820-59-6(X-6) 53473-28-2(6-K) | ||
Molecular Formula | C10H22N2O12P4K6 | ||
Check-Point | Specification | ||
Appearance | Colorless to yellowish transparent liquid | ||
Active content (as acid), % | 21.2-24.6 | ||
Active content (as salt), % | 31.0-36.0 | ||
Total phosphoric acid (as PO43-), % ≥ | 16.8 | ||
Chloride (as Cl-), % ≤ | 4.0 | ||
Fe, mg/L ≤ | 35.0 | ||
Density (20℃), g/cm3 | 1.21-1.31 | ||
PH (1% water solution) | 6.0-8.0 | ||
Packing:
200L plastic drum,IBC(1000L),customers’ requirement.
Product Usage:
HMDTMPA•K6 is soluble in water, it is a good scale inhibitor for calcium sulfate, suitable for use in situation of high pH value and high alkaline. HMDTMPA•K6 can be used for water treatment in boiler and RO membrane treatment.